Claims that “the Universe will end sooner than expected” are false
- Back in 2023, a team of researchers put forth the bold suggestion that Hawking radiation, which causes black hole evaporation, might emerge from all massive objects, not just black holes.
- If this were true, then all massive objects would slowly lose energy (and, therefore, mass), and as a result everything would eventually decay. Ultimately, the Universe itself would even end.
- Rather than talk about what could be true if this scenario holds, we can look at the fundamental issues underlying the idea, not just an approximation. It turns out not to be physically possible.
Here in our Universe, a common refrain is that, “This, too, shall pass.” Our night sky is alight with a vast array of planets, stars, and galaxies: indicative of the complex structures that have formed through the relentless effects of gravitation over the past 13.8 billion years. Although quintillions of new stars will no doubt form within our observable Universe far into the future, our Universe is already past its prime in a significant number of ways. Most of the stars that will ever form have already formed, as star-formation only occurs at 3% of the rate it once possessed 11 billion years ago: at its peak. Many planets will be swallowed or ejected as their parent stars evolve, and all of the stars that now exist will someday become stellar corpses: white dwarfs (which will someday fade to black), neutron stars, and black holes.
However, it’s long been known — since as far back as 1974 — that black holes won’t persist forever. Instead, due to the intricacies of quantum field theories in curved spacetime, black holes will emit a very real form of energetic radiation: Hawking radiation, where the rate and temperature of the emitted radiation depends on the amount of curvature at and outside the black hole’s event horizon. For a black hole with the same mass as our Sun, it will decay after ~1067 years: a very long time, but an importantly finite one.
Recently, in 2023, a team of authors published a paper suggesting that Hawking-like radiation isn’t just for black holes, and therefore, everything will eventually decay. In a follow-up paper, just recently published, they argue that this sets a new timescale for the lifetime, and the end, of the Universe. Unfortunately, a deeper examination reveals that the idea is fundamentally flawed. Here’s what everyone should know.

When most of us think about Hawking radiation, we hold a flawed and inaccurate picture of what’s occurring in our heads. That picture — put forth by Hawking himself in his immensely popular book A Brief History of Time — goes as follows.
- A black hole is a region of curved space with an event horizon separating the black hole’s interior (from which nothing can escape its gravitational pull) from the exterior (from which matter and radiation can escape).
- The Universe is filled with quantum fields, and those fields permeate all of space, including in regions with neither matter nor radiation present.
- Those quantum fields remain in the ground state in the absence of any real, physical effects, save for the quantum fluctuations (i.e., between energy and time) that occur.
- Those fluctuations can be visualized as particle-antiparticle pairs popping in-and-out of existence everywhere, including inside, outside, and right at the boundary of the black hole’s event horizon.
- When fluctuations occur inside or outside, they remain there and go “back to zero,” but fluctuations at the horizon can have one member of the pair “fall in” and the other member “escape,” allowing for the emission of real radiation: Hawking radiation.
- Finally, the escaping radiation carries real energy, and since energy is conserved, it must come from somewhere: from the mass of the black hole itself, via Einstein’s E = mc².
If you’ve ever heard an explanation for Hawking radiation, it’s very likely that it went something like the above line-of-thinking I just recounted, as it paraphrases Hawking very accurately.

But only the first three steps of that explanation are accurate in any way. Hawking radiation doesn’t arise because of any particle-antiparticle fluctuations that occur; that’s merely a calculational tool we use in quantum field theory to help us visualize (and calculate quantitative estimates for) how these quantum fields behave. What actually happens is instead more subtle.
- In all regions where space is curved, including outside, inside, and at the event horizon, the quantum vacuum possesses different properties for its lowest-energy (or ground) state: the state that it will reside in even in the absence of all forms of matter or radiation.
- Because of Einstein’s equivalence principle, we can think about spacetime curvature as being equivalent to any other form of acceleration; gravitational acceleration is just another example of mechanical acceleration.
- Therefore, if we look at the behavior of quantum fields across different regions of space — especially nearer to the event horizon, where curvature is more severe, and farther from the event horizon, where curvature is less significant — we’ll find that there’s a difference in the quantum vacuum’s ground state between those regions.
- It is that difference that induces the emission of real radiation: not in the form of charged particles or their antiparticles, but in the form of photons: what you’d expect to be produced as blackbody radiation for any object heated up to a specific temperature, in this case, the Hawking temperature.
In other words, it isn’t the production of quantum “pairs of particles” that causes the existence of Hawking radiation, but rather the difference in the quantum vacuum between regions closer to and farther from the event horizon.

It’s not true that particle-antiparticle pairs are always popping in-and-out of existence, but this visualization remains a common one. What is true is that quantum fields do indeed carry energy, that energy can be converted into real, massive particles (if there’s enough of it) via the Schwinger effect, and that black holes should indeed produce a real form of radiation via Hawking radiation. It’s also true that accelerated observers even in flat, empty space will experience a uniform bath of radiation as well, in the form of Unruh radiation, which should appear in our accelerating Universe in the far future at extremely low (~10-30 K) temperatures, owing to the existence of dark energy.
However, there’s an important caveat to Hawking radiation (for black holes) and for Unruh radiation (for accelerated observers): they require the existence of some type of “horizon” in order to be physically real. A horizon is defined as the boundary between a region where slower-than-light-speed phenomena can physically affect you and where only faster-than-light-speed phenomena could ever physically reach you. For a black hole, that’s the event horizon; for an accelerated observer (or for dark energy in our accelerating Universe), that’s a cosmological horizon. The energy needs a source, or a place where it can come from, and for quantum field theories in curved spacetime, that’s the big idea: it must come from some sort of horizon.

Now, there are some interesting points to note when we think about Hawking radiation arising from a black hole.
You might be tempted to think, “Oh, okay, all of the Hawking radiation that exists comes from the black hole’s event horizon, or the boundary between faster-than-light and slower-than-light entities can escape.” But that’s not true! We can calculate the energy density of the Hawking radiation that arises all throughout the space outside of the black hole’s event horizon, and it does not equal the expected energy density if you had all of the radiation originate at the horizon. It’s as though the horizon determines whether this type of radiation (e.g., Hawking radiation) is possible, but it doesn’t provide a point-of-origin for all of the radiation itself.
You might also think that more massive black holes would have larger and more massive event horizons, and therefore they’d radiate more energetically, but it turns out that the opposite of that is true! The lowest-mass black holes have the smallest event horizons, but the largest amounts of spatial curvature at the location of the event horizon, implying that as black holes radiate and lose mass, they evaporate faster and faster as time goes on.
And finally, the spacetime curvature far away from a mass — whether it’s a star, white dwarf, neutron star, or black hole — is the same regardless of the density or volume of the mass. As long as 100% of the mass is “enclosed” within the volume you’re considering, the spatial curvature at your location remains unchanged even as you vary the density or volume of your object.

The original idea of the first (2023) paper by Michael Wondrak, Walter van Suijlekom, and Heino Falcke was actually straightforward, and leveraged this very line of thinking. The authors reasoned that spatial curvature doesn’t care about how dense your object is or whether the event horizon is present or absent. Since it’s just the difference in curvature, and particularly the difference in curvature between different regions of space, that induces differences in the quantum vacuum, then this type of radiation should exist anywhere that we have changing regions of spatial curvature. And since it’s mass that causes spatial curvature most commonly (in our experience), then any mass can induce a difference in the quantum vacuum from place-to-place.
If the quantum vacuum is different, then we should be able to produce Hawking radiation between those regions: propagating outward from the region of greatest curvature (i.e., where the mass is located). The authors then go on to perform an approximate calculation, where they model the production of radiation by a simple scalar field, and where they use the (knowingly flawed) particle-antiparticle pair production analogy to perform their estimates. What they found was simple and straightforward: if you take this analogy seriously, you wind up getting comparable answers to what we’d predict for the production of Hawking radiation near a black hole, but for any mass at all.

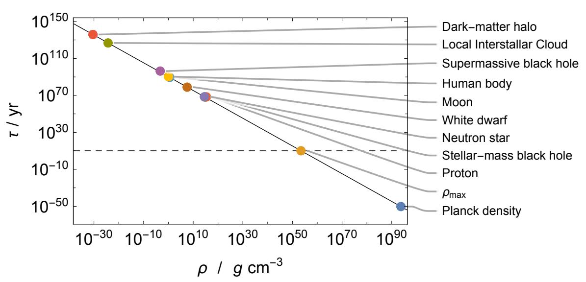
I wrote about this back in 2023, as I found the idea intriguing. Then, in late 2024, they released a follow-up paper that prompted an Ask Ethan column, and I wrote about it again, noting that this would imply a finite lifetime for everything that existed within our Universe. This includes:
- individual protons, which would have a lifetime of around ~1067 years, similar to a solar mass black hole,
- white dwarfs, which should decay away after around ~1080 years,
- low-mass planetary bodies, like Earth’s moon, which should live for only around ~1090 years,
- the largest supermassive black holes, which might live for around ~10105 years,
- and even big, fluffy, diffuse dark matter halos, which would require even longer timescales of between ~10120 and ~10140 years.
This would imply some serious cosmic violations. For example, for the proton to decay, we’d have to violate baryon number conservation: something that should be theoretically possible (after all, we have a baryon-over-antibaryon asymmetry in our Universe today), but for which no direct experimental evidence exists. For white dwarfs or planetary bodies to decay, we’d have to have some way to extract energy from a maximally gravitationally bound system, otherwise the demands of E = mc² imply that some type of conservation law violation would need to exist. The authors do not come up with an explanation for this; they simply suggest that this could occur.

But is that true? Can this process occur, and more importantly, can it occur in the absence of a horizon: which only black holes (for an event horizon) and the expanding Universe, overall (for a cosmological horizon) actually possess?
When I wrote my original articles, I incorrectly stated that this had yet to be decided. This was due to a lack of my own personal knowledge; this is something that was actually known within the field of quantum gravity research (i.e., at the intersection of quantum field theory and the curved spacetime backgrounds predicted by general relativity) as far back as 1975!
Back in 1975, scientists Abhay Ashtekar and Anne Magnon were considering how to formulate a quantum field theory in spacetimes of various types of curvature. Although the paper itself is very technical, one important consideration that comes up is the difference between a spacetime with a stable quantum vacuum, which is one where we have what’s known as a time-like Killing field (i.e., where the Universe has a time-translation symmetry, which is equivalent to the statement that energy is conserved), and one where the Killing field is allowed to be space-like in certain regions, which means that certain vital energy conditions are no longer obeyed, and many resulting pathologies arise.

Now, this is where we have to be careful. You might ask, “Are there any situations where these conditions arise that correspond to something actually present within our Universe?”
And the answer is yes. The Universe has a time-like Killing field wherever it has a point mass, including for the types of point masses considered in the calculations of Wondrak, van Suijlekom, and Falcke: a massive spin-zero scalar particle. The lone exceptions to space possessing a time-like Killing field occur where:
- either we have a cosmological horizon, as in the instance of the expanding Universe,
- or we have an event horizon, such as around a Schwarzshild (non-rotating) or a Kerr (rotating) black hole.
In other words, the presence or absence of a horizon, either a cosmological horizon or an event horizon, is in fact the key ingredient that’s necessary for this type of radiation, either Unruh or Hawking radiation, to physically exist. As others have pointed out, the key sentence from the Ashtekar and Magnon paper explicitly states:
“Thus, if the underlying space-time admits a everywhere time-like Killing field, the vacuum state is indeed stable and phenomena such as the spontaneous creation of particles do not occur.”

Credit: The EU’s Communicate Science
So that’s it: that’s the answer. The gravitational field of a static object can only create particle-antiparticle pairs if that static object possesses a horizon, or a place where the Killing field no longer exhibits time-like behavior everywhere. If such a location does not exist for an otherwise static object, that object cannot radiate via the Hawking (or Unruh) mechanism, and therefore it will not have a finite lifetime or spontaneously decay to the full extent of our knowledge. This was pointed out in the peer-reviewed literature as a follow up to Wondrak, van Suijlekom, and Falcke’s paper in a comment in November of 2024 and in an independent paper at precisely the same time.
When we consider these aspects of what’s already known about reality, we arrive at the answer. Only objects with horizons, either event horizons or cosmological horizons, can radiate and decay the way black holes can. Other massive objects, from protons to stars to stellar and planetary corpses to dark matter halos, will remain stable against decay via Hawking radiation infinitely far into the future. (Although it is still plausible that other decays, unknown to us at present, could still occur.) As fascinating as the idea is that the Universe, and everything in it, will someday succumb to Hawking radiation, the physics of general relativity and quantum field theory in curved spacetime says otherwise. Until we have knowledge that takes us beyond this framework, we cannot validate the idea that our Universe is unstable in such a fashion.